Китайская компания Alibaba представила семейство бесплатных LLM-моделей Qwen3.5. На данное время пользователям доступны флагманская модель Qwen3.5-397B-A17B и упрощенная версия Qwen3.5-Plus.
Qwen3.5 предлагает улучшения в производительности, стоимости обслуживания, и располагает «нативными мультимодальными возможностями», то есть одинаково хорошо работает с текстом, изображениями и видео. Она имеет 397 млрд. параметров — переменных, определяющих, как обучается и рассуждает модель. Qwen3.5 поддерживает 201 язык и диалект — у предыдущего поколения их было 82. Модель хорошо разбирается в математике и программировании, ее можно использовать для создания сайтов и интерфейсов. Также модель может выступать в роли ИИ-агента на смартфонах и компьютерах. Она может выполнять действия в системе и приложениях, например, сохранять видео на YouTube или заполнять ячейки в Excel.

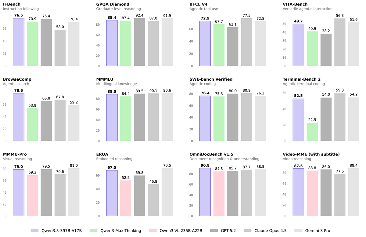
Qwen3.5-397B-A17B в тестах сравнима с GPT-5.2, Claude 4.5 Opus и Gemini 3 Pro, а в некоторых превосходит их всех. Разработчики отмечают, что Qwen3.5-397B-A17B в 8 раз быстрее обрабатывает большие данные, чем предыдущая флагманская модель Qwen3-235B-A22B.
Alibaba Qwen3.5-397B-A17B и Qwen3.5-Plus уже доступны в Qwen Chat. Также модели можно скачать бесплатно с Hugging Face.







